Die perfekte Welle Wie sich ein DDS-Sinuswellengenerator mit einfachen Entwicklungsboards umsetzen lässt Standard-Entwicklungsboards sind oftmals sehr auf bestimmte Anwendungen zugeschnitten und im Umfang beschränkt. Allerdings lassen sich durch das Kombinieren verschiedener Boards, einige Anwendungen umsetzen. Sogar Sinuswellengeneratoren sind möglich. Patrick Butler 11. May 2021
Doppelte Arbeit Dual-Core-Lösungen in DSC-Anwendungen nutzen Heutzutage reicht es nicht mehr nur aus, eine möglichst hohe Leistung zu bieten. Vielmehr ist es nötig, dass elektronische Anwendungen verschiedene andere Zusatzfunktionen neben der Hauptfunktion bieten. Signal- und Mikrocontroller müssen die Leistung entsprechend umverteilen. Markus Wimmer 31. July 2019
Active Noise Control mit DSP Geräuschunterdrückung mit Signalprozessoren Automobilingenieure sind bestrebt, immer umweltfreundlichere Fahrzeuge zu entwickeln. Einige der in diesem Zusammenhang eingesetzten Techniken, wie beispielsweise ein sparsamerer Einsatz von vibrationsreduzierenden Materialien oder die Abschaltung einzelner Zylinder unter bestimmten Fahrbedingungen, verursachen jedoch höhere Geräuschpegel im Innenraum. Um die Fahrzeuge wieder leiser zu machen, setzen viele Ingenieure auf eine Geräuschunterdrückung mit einer aktiven Active Noise Control (ANC) über das Audiosystem des Fahrzeugs. Ein dedizierter Audio-DSP ermöglicht die kostengünstige Implementierung von ANC-Algorithmen mit niedriger Latenz. Dr. Rolf Schirmacher, Gerard Andrews 11. November 2016
Radartechnik Radar-Wellenformen erzeugen, messen und auswerten Für die Auswertung komplexer Radarwellenformen wie auch fürs Beamforming in Antennen-Arrays sind vermehrt High-End DSPs und direkte Signalsynthese (DDS, Direct Digital Synthesis) erforderlich. Rohde & Schwarz stellt Geräte vor, um die Radar-Sinale zu erzeugen, zu messen und auszuwerten. Wallmann 10. November 2015
Reverse Engineering Optimierungen im Kenwood KW-Transceiver TS-590SG Der zur HAM Radio im Juni vorgestellte Allmode-Transceiver TS-590SG bietet wie sein Vorgänger TS-590S außergewöhnlich gute Empfängereigenschaften: Kenwood hat sie durch eine ausgereifte Kombination von scharfen Roofing-Filtern, einer wirksame ZF-AGC und modernster 32-Bit-DSP-Technologie messbar verbessert. Siegfried W. Best 20. October 2015
DSP-Architekturen Fortschrittliche Halbleitertechnik für Hörgeräte Um Hörgeräte immer weiter zu verbessern und sie dabei zu miniaturisieren, sind besonders leistungsfähige Bausteine gefragt. ON Semiconductor stellt mit dem Ezairo 7100 ein SoC vor, das Signalaufbereitung und DSP mit einem CPU-Core auf einem Die kombiniert. Die gewählte DSP-Architektur trägt entscheidend zur Energieeffizienz bei. Christophe Waelchli 30. September 2014
Kenwood-KW-Transceiver TS-590S Empfang wie ein Großer, dank DSP Der neue Allmode-Transceiver verbindet außergewöhnlich gute Empfängereigenschaften und einfache Bedienbarkeit. Mit seiner bemerkenswerten RX-Performance soll er alle Funkamateure begeistern – vom Einsteiger bis zum erfahrenen DXer. Aufgeschraubt zeigt er sich trotz der vielen Merkmale gut aufgeräumt. Dipl.-Ing. Siegfried W. Best 25. May 2014
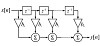
Analoge Signale digital verarbeiten FIR-Filter im CPLD Bei besonders breitbandigen Signalen mit hoher Abtastrate nimmt man häufig FPGAs zur Implementierung digitaler Filter. Doch was tut man, wenn die benötigte Rechenleistung gering ist, weil die Abtastrate nur im Bereich einiger zig Kilohertz liegt? Wie kann man dann ohne große und stromfressende FPGA oder DSP eine kostengünstige digitale Signalverarbeitung erreichen? Tut’s vielleicht auch ein kleines und günstiges CPLD ohne Multiplizierer? Harald Flügel 6. November 2013
Von der Freisprecheinrichtung zum autonomen Fahrzeug DSP-Trends in Auto-Anwendungen Digitale Signalprozessoren (DSP) befinden sich heute in jedem Fahrzeug. Sie kommen überall dort zum Einsatz, wo große Datenmengen in Echtzeit verarbeitet werden müssen. AUTOMOBIL-ELEKTRONIK erläutert einige aktuelle Anwendungen und wirft einen Blick in die Zukunft der DSPs im Auto. Ulrich Biewer 26. November 2012
PL-390: FM Stereo/SW/MW/LW/ DSP Empfänger Hörgenuss nicht nur auf Kurzwelle Über das Herz des DSP-Empfängers PL-390, den AM/FM Receiver IC Si 4734 von Silicon Labs haben wir schon berichtet. Hier zeigen wir eine Anwendung in einem Weltempfänger. Siegfried W. Best 2. March 2011
Höret die Signale Arm erweitert seine Cortex-M-Prozessor-Cores mit dem Cortex M4 „Mit dem Cortex M4 aus der Cortex-M-Familie stellen wir einen neuen Prozessor-Core vor, der in die Kategorie der Digital Signal Controller fällt“, fasst Shyam Sadasivan von Arm aus Cambridge die Neuerung zusammen. Redaktion 30. March 2010