Antriebsauslegung

Sparsame Servoantriebe mit hoher Leistungsdichte

Veröffentlicht Geändert

Ein möglichst hoher Wirkungsgrad zählt zu den wichtigsten Zielen der Antriebshersteller. Um Verluste durch Masseträgheit, Torsion und Reibung zu reduzieren, liegt es nahe, Servomotor und Getriebe direkt miteinender zu verbinden. Gleichzeitig lassen sich die Antriebe gezielt auf die jeweiligen Anforderungen – Drehmoment, Dynamik oder beides – hin auslegen.

Hohe Wirkungsgrade und Leistungsdichte ermöglichen ein breites Anwendungsspektrum für Servo-Antriebe.
Hohe Wirkungsgrade und Leistungsdichte ermöglichen ein breites Anwendungsspektrum für Servo-Antriebe.Wittenstein alpha

Servoaktuatoren sind mechatronische Systemeinheiten aus Motor und Getriebe, die Antriebsaufgaben umso effizienter lösen, je spezifischer sie den grundlegenden Anforderungen der Applikationen entsprechen. Konstruktive Kniffe tragen ebenso dazu bei, hohe Wirkungsgrade und Leistungsdichte zu erreichen, wie eine geschickte Antriebsauslegung. Zudem sollen sowohl die Kosten als auch die CO2-Bilanz möglichst günstig ausfallen.

Die Einsparpotenziale betreffen alle antriebstechnischen Komponenten und deren Auslegungen: Frequenzumrichter, Bewegungsprofile, Getriebe, Mechanik und Motoren. Untersuchungen, beispielsweise mit den SP+ High Speed-Getrieben von Wittenstein alpha, haben gezeigt, dass allein die Energiesparmöglichkeiten im mechanischen Teil des Antriebsstranges bis zu 30 % betragen.

Höhere Kopplungsfaktoren durch konstruktive Maßnahmen

Hinsichtlich der Wirkungsgrade der einzelnen Komponenten sind die Verbesserungspotenziale jedoch relativ gering, da diese bereits einen hohen Reifegrad erlangt haben. Planetengetriebe haben pro Stufe einen Wirkungsgrad von 97 %. Hier verursachen Dichtungen, Lagervorspannung und Zahneingriff den größten Anteil der Verluste. Bei modernen synchronen Servomotoren liegt der Wirkungsgrad bei rund 92 %, beeinflusst vor allem durch ohmsche Verluste, Ummagnetisierung und Wirbelströme. Bei der Leistungselektronik stammen die Verluste hauptsächlich aus den Schalt- und Durchlassvorgängen und betragen etwa 5 %. Das größte Einsparpotenzial birgt der Einsatz kleinerer Antriebe mit geringen Trägheitsmomenten. Je niedriger der Anteil der Eigenträgheit des Motors an der gesamten zu beschleunigenden Masse ist und umso mehr von der Gesamtleistung in die Applikation gelangt, desto höher ist die Energieeffizienz der Antriebsstrecke.

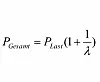
Weniger Eigenträgheit bedeutet geringere Gesamt-Massenträgheit im Antriebsstrang. Dadurch erhöht sich der sogenannte Kopplungsfaktor λ, das Verhältnis der Fremdträgsheitsmomente zu den Eigenträgheitsmomenten. Bei der Berechnung des Leistungsbedarfs fließt das Trägheitsmoment über den Kopplungsfaktor λ wieder in die Berechnung ein:

45967.jpg

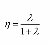
wobei PLast die tatsächlich genutzte Leistung in der Applikation beschreibt und der Quotient PLast / λ für die Verluste im Motor steht. Der Wirkungsgrad η, das Verhältnis der abgegebenen zur aufgenommenen Leistung, ist damit ebenfalls eine Funktion des Kopplungsfaktors λ:

45968.jpg

Der theoretisch maximal mögliche Wirkungsgrad η ist somit abhängig vom Kopplungsfaktor λ – wenn auch nicht linear:

45969.jpg

Bei herkömmlichen Antriebsauslegungen strebt der Konstrukteur in der Regel einen Kopplungsfaktor zwischen 1 und 3 an. Dies entspricht einem Wirkungsgrad von , das heißt einem Verlust im Motor zwischen 25 und 50 %. Der Grund: In diesem Bereich lässt sich mit geringem Aufwand ein robustes Regelverhalten im Regelsystem erzielen. Verantwortlich dafür ist jedoch nicht der Kopplungsfaktor, sondern der Einfluss mechanischer Elastizitäten. Im klassischen Aufbau sind Motor und Getriebe nämlich mittels einer Wellenkupplung verbunden. Diese Art der Verbindung verursacht einen zusätzlichen Anteil an Trägheitsmoment sowie eine geringere mechanische Steifigkeit.

Indiz für die Energieeffizienz eines Antriebes: der Kopplungsfaktor λ.
Indiz für die Energieeffizienz eines Antriebes: der Kopplungsfaktor λ.Wittenstein alpha

Um das zu vermeiden, presst Wittenstein bei seinen TPM+-Antrieben das Sonnenrad des Getriebes direkt in die Motorwelle ein. Solche konstruktiven Maßnahmen erlauben Kopplungsfaktoren im Bereich λ>10. Die hohe Verdreh- und Kippsteifigkeit sowie das geringe Verdrehspiel der Planetengetriebe begünstigen dies zudem.

Geringere Baulänge bei gleicher Leistung

Die Servoaktuatoren der Baureihe TPM power 050 vereinen permanenterregte Synchronservomotoren mit schräg verzahnten Planetengetrieben.
Die Servoaktuatoren der Baureihe TPM+ power 050 vereinen permanenterregte Synchronservomotoren mit schräg verzahnten Planetengetrieben.Wittenstein alpha

Die Baureihe TPM+ von Wittenstein motion control bietet eine anwendungsorientierte Leistungsabstufung. Sie reicht vom schnellen TPM+ dynamic über den drehmomentstarken TPM+ power bis zum hochgradig verdrehsteifen TPM+ high torque. Alle Servoaktuatoren erfüllen Anwenderwünsche wie ein zeitoptimales Positionierverhalten, hohe Leistungsdichte durch Reduzierung von Gewicht und Abmessungen ohne Performanceverluste oder die einfache Gestaltung mechanischer und elektrischer Schnittstellen. Neben diesen Aspekten ist die Einsparung von Energie ein wichtiges Thema bei der Entwicklung von Servoaktuatoren und der Gestaltung neuer Antriebslösungen.

Der TPM+ dynamics kommt mittlerweile in mehr als 40000 Antriebsaufgaben zum Einsatz, darunter rotative Applikationen in der Robotik und in Verpackungsmaschinen. Auch beim drehmomentstarken TPM+ power sind der Motor und das Getriebe durch das Konstruktionsprinzip eng miteinander verbaut: Im Vergleich zu marktüblichen Motor-Getriebe-Kombinationen liegt der Baulängenvorteil dadurch bei rund 50 %.

Der Servoaktuator ist sowohl einstufig verfügbar, was besonders interessant für lineare Applikationen ist, als auch zweistufig für rotative Antriebsaufgaben. Die feine Abstufung der Übersetzungen erlaubt die Auslegung des TPM+ power hinsichtlich Energieeffizienz und Dynamik. Für Laufruhe am Abtrieb sorgt die Schrägverzahnung im Getriebe. Gleichzeitig trägt der reduzierte Einfluss von Zahneingriffsfrequenzen auch zu einem niedrigen Geräuschpegel bei. Die hohe Leistungsdichte der Permanentmagnet-erregten Synchronmotoren erreicht der Hersteller neben dem Einsatz von Seltenerden-Magnetmaterial vor allem durch die Polzahl und den Füllfaktor in den Nuten. Zudem verbessern die dünnen Bleche in den Paketen die Leistungs- und Energiebilanz durch Reduzierung der Wirbelstromverluste. Besondere geometrische Maßnahmen reduzieren das sogenannte Cogging, also das permanentmagnetische Rastmoment zwischen den Magneten des Rotors und den Polschuhen des Stators.

In der Automation und Bearbeitung kommt der TPM+ hauptsächlich in hochdynamischen lineare Anwendungen wie Ritzel-Zahnstangen-Systeme oder Spindeln sowie rotativen Applikationen mit großen Massen und Störkräften zum Einsatz, die hohe Ansprüche an Drehmoment und Regelgüte stellen.

Ein Merkmal der in vier Baugrößen und einem Übersetzungsspektrum von 22 bis 220 verfügbaren Baureihe TPM+ high torque ist ihre Verdrehsteifigkeit. Diese liegt rund 180 % über den Werten von Standardgetrieben. Die maximalen Beschleunigungsmomente in der jeweiligen Baugröße liegen noch einmal 90% über denen des TPM+ dynamic – bei Baulängen zwischen 183 und 415 mm. Verantwortlich für die Leistungszunahme ist unter anderem der vierte Planet und damit die zusätzlichen Zahneingriffe in der Abtriebsstufe des Getriebes.

Ausgehend von ihrer Leistungsdichte erlauben auch diese Servoaktuatoren eine Dynamik-optimierte Auslegung. Dies kommt vielen Einsatzgebieten zugute, beispielsweise bei der Handhabung schwerer Lasten und in automatisierten Bearbeitungszentren. Welche Baugröße, Übersetzung und Abtriebsdrehzahl auch hinsichtlich der Energiebilanz am effizientesten ist, lässt sich für alle TPM+-Servoaktuatoren mit Hilfe der Auslegungssoftware Cymex 3 berechnen.

Rechnet sich Netzrückspeisung?

Mit dem Energie-Assistent in der Auslegungssoftware Cymex 3 lässt sich der Energiebedarf eines Antriebsstranges dynamisch berechnen und entsprechend auslegen.
Mit dem Energie-Assistent in der Auslegungssoftware Cymex 3 lässt sich der Energiebedarf eines Antriebsstranges dynamisch berechnen und entsprechend auslegen.Wittenstein alpha

Die in das Tool integrierte Funktion Energie-Assistent unterstützt den Anwender dabei, den Energiebedarf von alternativen Antriebslösungen dynamisch zu berechnen, Downsizing-Potenziale zu erkennen und den gesamten Antriebsstrang energieeffizient auszulegen. Auch die Wirtschaftlichkeitskalkulation einer möglichen Netzrückspeisung ist integriert. Beispielberechnungen zeigen, dass sich ein Großteil der zum Beschleunigen und Bremsen der Antriebsträgheit aufgewendeten Energie rückspeisen lässt. Mit Hilfe der Software kann der Anwender die Energiekosten mit und ohne Rückspeisung bewerten und so die Energieersparnis beziffern. Neben Leistungsdichte, Wirkungsgraden und konstruktiver Auslegung von Servoaktuatoren erlaubt dies eine weitere Steigerung der Energieeffizienz in der Antriebstechnik.

Hannover Messe 2014

Halle 15, Stand F08

Siegfried Wallauer

Siegfried Wallauer ist Produktmanager der Wittenstein motion control GmbH, Igersheim

(am)

Unternehmen