Rundumschutz hoch vier

Abgeschirmte Flachkabel: Testreihen bestätigen ESD-Schutz

Veröffentlicht Geändert
216ei1016_3M_Bild1_Flachkabeltypen

Um sicherzugehen, dass Kabel und Verbinder ihre Arbeit ordentlich verrichten, sind Testmethoden erforderlich, die weitestgehend realistischen Einsatzbedingungen entsprechen. 3M hat vier unterschiedliche Kabel eingehend auf die Eignung als Signalübertragungsleitung getestet.

Elektrostatische Entladungen (ESD) können sich auf Zwischenverbindungssysteme zur Datenübertragung mit hoher Geschwindigkeit nachteilig auswirken. Abgeschirmte Flachkabel und Verbinder hingegen verringern die ESD-Auswirkungen und verbessern die Signalübertragungseigenschaften.

Tabelle 1: Stör- und Zerstörungsgrenzen von Logikbausteinen.
Tabelle 1: Stör- und Zerstörungsgrenzen von Logikbausteinen.3M

Spannungen zerstören Halbleiter

Fließt von einem Gerätegehäuse, an dem der Schirm eines Kabels angeschlossen ist, eine statische Aufladung ab, so fließt ein Teil der Ladung durch den Schirm an Masse ab. Die hierbei auftretenden Felder und Spannungen verursachen Störspannungen in den Signalübertragungsleitungen des abgeschirmten Kabels, entweder aufgrund des Spannungsabfalls durch die Übertragungsimpedanzen zwischen Schirm und Verbinder oder wegen der direkten induktiven Kopplung des ESD-Feldes durch den Schirm oder ungeschützte Signalleiter.

Statische Entladungen in der Nähe eines Kabels erzeugen elektromagnetische Felder, die Störungen auf den Signalleiter koppeln können. Solche Störspannungen in entsprechender Größenordnung können wiederum falsche logische Signale erzeugen und möglicherweise sogar zur Zerstörung von Halbleitern führen (Tabelle 1).

eckdaten

Der Beitrag stellt die Ergebnisse von Tests vor, die 3M an mehreren, unterschiedlich geschirmten Kabeltypen vorgenommen hat. Gegenstand der Untersuchung waren die Auswirkung von ESD unter Berücksichtigung mehrerer variabler Größen und deren Einfluss auf die Eigenschaften eines Verbindungssystems. Besonders gut abgeschnitten hat ein eigens entwickeltes Transmission-Line-Kabel.

Vier im Test

Der Technologiekonzern 3M hat deshalb vier Kabeltypen auf die Eignung als Signalübertragungsleitung getestet. Relevante Parameter waren dabei Art und Form der Abschirmung, Breite und Länge des Flachkabels, Art und Weise des Schirmanschlusses und die Art der zu übertragenden Signale.

Untersucht wurden ein nicht geschirmtes, ein einseitig abgeschirmtes und drei Arten rundum abgeschirmter Kabel, zwei davon eigens für diese Versuchsreihe angefertigte Transmission-Line-Kabel. Der Testschwerpunkt lag auf drei Flachkabelfamilien (Bild 1):

  • Flachkabel Typ 3365, nicht geschirmtes, extrudiertes, PVC-isoliertes Flachkabel mit 0,09 mm² Litzenleiter-Durchmesser (28 AWG) und 1,27 mm Leitermittenabstand
  • Flachkabel Typ 3469, einseitig geschirmtes, extrudiertes, PVC-isoliertes Kabel mit einseitigem Schirm (Ground Plane), Leiterquerschnitt und Leitermittenabstand wie Typ 3365
  • Flachkabel Typ 3517, mit einem Kupfermaschenschirm rundum abgeschirmtes und ummanteltes Flachkabel vom Typ 3365

Weiterhin nahm ein Transmission-Line-Kabel am Test teil, das sich durch geringen Verlustfaktor, engtolerierte Geometrie und gebondeten Schirm auszeichnet, für den zwei verschiedene Materialien zum Einsatz kamen. Als Verbinder dienten Standardverbinder aus dem IDC-Stecker-Portfolio von 3M.

Der Versuchsaufbau

Bild 2: Schematischer ESD-Testaufbau. Auf dem Schirm des Oszilloskops ist ein typischer Störimpuls zu sehen.
Bild 2: Schematischer ESD-Testaufbau. Auf dem Schirm des Oszilloskops ist ein typischer Störimpuls zu sehen.3M

In der Simulation ist ein Peripheriegerät in einem Metallgehäuse mit einer ebenfalls in einem Gehäuse platzierten Konsole extern über ein Kabel verbunden. Der Signalleiter des Kabels schließt mit einem Abschlusswiderstand entsprechend der Impedanz innerhalb des simulierten Peripheriegerätegehäuses ab, das andere Ende des Leiters ist an ein Speicheroszilloskop mit einem Eingangswiderstand von 50 Ohm angeschlossen. Beide Gehäuse (Konsole und Peripheriegerät) sind über Masseleitungen an die gemeinsame Systemmasse geerdet (Bild 2).

Tabelle 2: Auswirkung von Entladungsspannung, -kapazität und -widerstand auf die Störspannung (3517-Kabel, 2 m).
Tabelle 2: Auswirkung von Entladungsspannung, -kapazität und -widerstand auf die Störspannung (3517-Kabel, 2 m).3M

Über einen 110-Ohm-Widerstand lädt eine 10-KV-Hochspannungsquelle einen Entladungskondensator (CD) auf, der sich wiederum über den Widerstand (RD) und eine justierbare Entladungsstrecke auf das Peripheriegehäuse entlädt. Die Länge der Entladungsstrecke ist so gewählt, dass ein- bis zweimal pro Sekunde eine Entladung erfolgt. Die durch die Entladung erzeugte Störspannung geht durch die Signalleiter des Testkabels an das Oszilloskop und wird dort aufgezeichnet.

Die Versuche erfolgten mit Kondensatoren und Widerständen unterschiedlicher Werte, beim Standard-ESD-Test waren das 400 pF und 100 Ohm. Bei diesen Werten ergaben sich die am besten reproduzierbaren Ergebnisse, die mit den maximalen Störungen aufgrund realer, von Menschen hervorgerufener elektrostatischer Entladungen übereinstimmten. Beim ESD-Test mit Menschen wurde die Person auf einer Polystyren-Matte positioniert und durch die 10-KV-Spannungsquelle aufgeladen. Anschließend berührte die Person das Peripheriegehäuse. Auch hier zeichnete das Oszilloskop die induzierte Spannung auf. Tabelle 2 zeigt die Störspannungen aufgrund unterschiedlicher Entladungsspannungen, Kapazitäten und Widerstände.

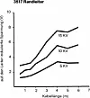
Die Bilder 3 und 4 zeigen die Zusammenhänge zwischen Entladungsspannung und hervorgerufener Störaufnahme.

216ei1016_3M_Bild3_3517 Randleiter
Bild 3: ESD-Störspannung als Funktion von Kabellänge und Entladungsspannung – Randleiter.
216ei1016_3M_Bild4_3517 Mittelleiter
Bild 4: ESD-Störspannung als Funktion von Kabellänge und Entladungsspannung (Abzissenwerte in mV!) – Mittelleiter.
216ei1016_3M_Bild5_Schirmung und Leiteranordnung
Bild 5: Auswirkung der Art des Schirmes und der Leiteranordnung bei ESD.

Testresultate im Detail

Die elektromagnetischen Felder hatten erwartungsgemäß die stärkste Auswirkung auf das ungeschirmte Flachkabel 3365. Dabei lagen die erzeugten Störspannungen sogar oberhalb des Oszillioskopmessbereichs, woran auch das Zwischenschalten von Dämpfungsgliedern nichts änderte. Das einseitig abgeschirmte Kabel 3469 (50-adrig) brachte zwar eine erhebliche Reduzierung der Störspannung; jedoch sind auch 150 V auf den Randleitern und 40 V auf den mittleren Leitern mehr als genug, um falsche Signale zu erzeugen beziehungsweise Bauteile zu zerstören.

Auch das 360°-abgeschirmte Flachkabel 3517 zeigte eine erhebliche Reduzierung der Störspannung. So ließen sich an den Randleitern des 50-adrigen Kabels nunmehr nur noch 3 V, an den Mittelleitern nur noch 400 mV feststellen. Diese Randleiter/Mittelleiterdifferenz lässt sich auf die scharfe Knickstelle des Schirms an der Flachkabelkante zurückführen. Das bei einer elektrostatischen Entladung erzeugte elektromagnetische Feld ist an dieser Stelle besonders konzentriert.

Das Transmission-Line-Kabel mit dem optimierten Schirm zeigte indes, dass sich Störimpulse noch weiter reduzieren lassen. Die Störeinstrahlung sank mit dieser 60-adrigen Kabelkonstruktion auf 400 mV (Randleiter) beziehungsweise 200 mV (Mittelleiter).

Gut geerdet ist halb gewonnen

Bei größerer Entfernung zwischen Konsole und Peripherie stieg auch die Störspannung an. Grund hierfür ist die Abhängigkeit des Ohm’schen Widerstandes des Schirms von der Länge des Kabels (= Schirm). Dadurch kommt es zu einem zunehmenden Spannungsabfall entlang des Schirms, woraus wiederum eine stärkere Störstrahlung auf die Signalleiter resultiert. So stellte sich heraus, dass eine erhöhte Leitfähigkeit des Schirms durch den Einsatz leitfähiger Materialien die Störempfindlichkeit des Kabels herabsetzt.

Die Vorteile eines optimal abgeschirmten Kabels kommen jedoch nur dann zum Tragen, wenn der Schirm sachgerecht geerdet ist. Eine gute Verbindungsstelle muss drei Forderungen erfüllen:

  • Masseverbindung mit möglichst niedriger Impedanz,
  • vollständige Abschirmung der im Steckverbinderbereich freiliegenden Leiter und
  • ausreichend hohe Leitfähigkeit des Verbindergehäuses, um bei der Führung von ESD gleiches Potential zu gewährleisten.
Bild 6: Ergebnisse aus Versuchen mit verschiedenen Befestigungs- und Kontaktierungsarten des Kabels 3517 am simulierten Peripheriegerätegehäuse.
Bild 6: Ergebnisse aus Versuchen mit verschiedenen Befestigungs- und Kontaktierungsarten des Kabels 3517 am simulierten Peripheriegerätegehäuse.3M

Bild 6 zeigt die Ergebnisse aus Versuchen mit verschiedenen Befestigungs- und Kontaktierungsarten des Kabels 3517 am simulierten Peripheriegerätegehäuse. Im ersten Schritt wurde der Schirm lediglich möglichst nahe an den Verbinder herangeführt und von dort so abgeschnitten, als wolle man Massestromkreise vermeiden. Die Störspannung auf dem Mittelleiter des Kabels 3517, hervorgerufen durch eine elektrostatische Entladung auf das Peripheriegerätegehäuse, ließ sich mit >500 V nur schätzen, da das Oszilloskop aufgrund dieser Messung schlagartig den Geist aufgab. Bei Verwendung einer am Schirm angelöteten und am Gehäuse befestigten Masselitze größeren Querschnitts sank die gemessene Störspannung auf 16 V.

Kam ein Flachkabel-Verbinder mit einem Metallgehäuse (D-Sub Gerätestecker) zum Einsatz, auf dem der Schirm rundum verlötet, aber die elektrische Verbindung zum Gehäuse lediglich mittels Befestigungsschrauben hergestellt war, betrug die Stärke der Störspannung immer noch 2 V. Bei einem großflächigeren Kontakt zwischen dem Metallgehäuse des Steckers und der Gehäusewand lag die Spannung bei 1,25 V. Die kleinstmögliche Störeinstrahlung ergab sich mit 600 mV bei der direkten, großflächigen Befestigung des Schirms an der Gerätewand mit speziellen Erdungsklemmen wie der 3M Grounding Clamp 3504.

schlussfolgerungen der Testreihe

Elektrostatisch empfindliche Bauteile sollten über die Mittelleiter eines Flachkabels miteinander verbunden sein. Der Schirm sollte einen geringen Widerstand haben, entweder durch eine kurze Kabelverbindung, ein Kabel mit hochleitfähigem Schirm oder eine möglichst niederohmige Masseverbindung. Eine vollständige, metallische Abdeckung der Kabelenden im Eintrittsbereich am Gerätegehäuse ist unbedingt notwendig. Ungeschirmte oder einseitig geschirmte Kabel bieten mangelhaften beziehungsweise gar keinen ESD-Schutz. In kritischen Fällen müssen deshalb andere Maßnahmen greifen, etwa die Schaffung eines ESD-gerechten Umfeldes.

Fazit

Tabelle 3: ESD-Störaufnahme auf ein Kabel von 2 m Länge.
Tabelle 3: ESD-Störaufnahme auf ein Kabel von 2 m Länge.3M

Die höhere Empfindlichkeit der Kabel gegenüber elektrostatischer Entladung bei unzureichend angeschlossener Abschirmung, also zum Beispiel bei Verwendung einer Masselitze, beruht auf einer Verstärkung des elektromagnetischen Feldes im Bereich von Öffnungen im Schirm. Diese konzentrierten Felder koppeln in verstärktem Maße Störimpulse durch die Öffnung im Schirm hindurch auf die ungeschützten Leiter beziehungsweise die ungeschützte Steckverbindung. Ein solch unzureichender Masseanschluss des Schirms stellt keine ausreichende Abschirmung des Signalleiters sicher. So gewährleistet eine vom Querschnitt her entsprechend dimensionierte Masselitze zwar einen niederohmigen Masseanschluss, ein ausreichend guter Schutz der Signalleitungen ist aber nicht gewährleistet.

Hans Dieter Wagner

Marketing Electronic Materials Solutions bei 3M.

(mou)

Unternehmen