Kühl gestellt

Mit dem richtigen Wärmemanagement Überhitzung von LEDs verhindern

Veröffentlicht Geändert
Bild 2: LED-Blechkühlkörper zur Reduzierung des Gewichts
Bild 2: LED-Blechkühlkörper zur Reduzierung des Gewichts

Bereits geringe Überhitzungen können LEDs nachhaltig schaden und ihre Lebensdauer beeinträchtigen. Welche Optionen es für Entwickler gibt, um für die richtige Temperatur zu sorgen, lesen Sie hier.

Entwickler müssen in ihren Anwendungen darauf achten, dass es nicht zu einer Überhitzung von LEDs kommt. Aus diesem Grund ist es unabdingbar ein geeignetes Wärmemanagement für die jeweilige Anwendung zu finden. Eine Überhitzung von nur 10 °C über die vom LED-Hersteller angegebenen maximalen Junction-Temperatur verringert die Lebensdauer um etwa 50 Prozent. Bei der LED als stromgetriebenes Bauteil entsteht die Wärme durch die Leistung, welche über den inneren Widerstand abgeführt wird. Die so entstehende Verlustleistung muss das System über die Platine an die Umgebung abführen können. Die Vergrößerung der wärmeableitenden Oberfläche erfolgt über Kühlkörper, die direkt auf der LED-Platine platziert sind.

Bild 1: LED-Kühlkörper mit integriertem Lüftermotor.
Bild 1: LED-Kühlkörper mit integriertem Lüftermotor.Fischer Elektronik

Hier stehen Entwicklern verschiedene Kühlmethoden zur Auswahl: die Entwärmung über eine natürliche Konvektion mittels eines Kühlkörperprofils, die Entwärmung über eine erzwungene Konvektion mittels eines Kühlkörperprofils, an dem ein Lüftermotor (Bild 1) angebracht ist und die Entwärmung mittels Fluiden.

Welches Kühlverfahren zum Einsatz kommt, ist überwiegend abhängig von der Höhe der Verlustleistung sowie von der Höhe des Temperaturunterschiedes zwischen maximaler Junction-Temperatur und der Umgebungstemperatur der Anwendung.

Bei der Auswahl des richtigen Kühlverfahrens ist der Wärmewiderstand ein Entscheidungshilfsmittel.

Über folgende Formel lässt sich dieser berechnen:

Formel1_Fischer
Fischer Elektronik

Hierbei bedeuten die einzelnen Variablen:

Rth = Wärmewiderstand Junction/Ambient [K/W]

Tj = Junction Temperature (max. Sperrschichttemperatur aus dem LED-Datenblatt [K]

Ta = Umgebungstemperatur [K]

P = Gesamtverlustleistung der LED (aus dem LED-Datenblatt) [W]

η = Wirkungsgrad der LED (aus dem LED-Datenblatt)

RTHTIM = Wärmewiderstand für das Wärmeleitmaterial [K/W]

Den Wärmewiderstand geben die Kühlkörperhersteller an. Er sagt aus, wieviel Wärme und somit wieviel Leistung über den jeweiligen Kühlkörper an die Umgebung austritt.

Für die Berechnung des Gesamtwärmewiderstandes ist der Wärmewiderstand des Wärmeleitmaterials mitentscheidend. Ein Wärmeleitmaterial ist für die Verbindung zwischen der LED-Platine und dem Kühlkörperprofil notwendig um eventuelle Lufteinschlüsse auszuschließen. Solche Lufteinschlüsse können durch Unebenheiten und Toleranzen der Bauteile entstehen, die sich auch mit einer guten mechanischen Bearbeitung nicht ganz vermeiden lassen. Wärmeleitmaterialien können in drei Gruppen eingeteilt werden: wärmeleitende Folien, Wärmeleitpasten und wärmeleitende Kleber. Auch hier bestimmt die Anwendung, welches Wärmeleitmaterial am besten zur Anwendung kommen sollte.

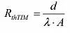
Die Berechnung erfolgt durch folgende Formel:

Formel2_Fischer
Fischer Elektronik

Dabei gilt:

d = Dicke/Länge des Wärmeweges [m]

λ = Wärmeleitfähigkeit des Materials [W/mK]

A = Querschnittfläche der Kontaktfläche [m²]

Die Querschnittfläche können Entwickler über die Größe der LED bestimmen, dabei sollten sie die Dicke des Wärmeleitermaterials immer so klein wie möglich halten. Hier gilt die Regel: Die Materialstärke sollte so gering wie möglich, aber so dick wie nötig sein.

Passendes Wärmematerial wählen

Die Wärmeleitfähigkeit ist eine Materialeigenschaft. Luft mit einer Wärmeleitfähigkeit von 0,0262 W/mK gilt als einer der schlechtesten Wärmeleiter überhaupt. Aus diesem Grund ist selbst ein schlechtes Wärmeleitmaterial besser als ein Wärmeleitmaterial mit Lufteinschlüssen. Zum Wärmemanagement gehört also nicht nur der Kühlkörper, sondern auch die Auslegung des passenden Wärmeleitmaterials. Sollten hier Lufteinschlüsse durch ein falsch ausgelegtes Wärmeleitmaterial entstehen, kann es auch bei einem passenden Kühlkörper zur Überhitzung der LED kommen.

Ein weitergehender Aspekt in der Beleuchtung ist neben der Schichtdicke auch das passende Material. Wärmeleitmaterialien enthalten in vielen Fällen Silikone, um sich mit einfachen und günstigen Mitteln gut an die gegebene Form anschmiegen zu können. Diese Silikone könne aber gerade in der Beleuchtung zu großen Problemen führen. Silikonöle gasen aus dem Material aus (Volatile Organic Compounds, VOC) und können sich auf den Linsen absetzen, was dazu führt, dass die Linse eintrübt und sich die gesamte Lichtstärke der LED nicht mehr nutzen lässt.

Wahl des Kühlkörpers

Die Kühlkörperauswahl fällt möglichst immer auf eine passive Lösung. Diese hat verschiedene Vorteile, aber auch einige Nachteile. Zu den Vorteilen gehört beispielsweise ein geringer Preis, da keine zusätzlichen Lüfter und somit auch keine zusätzliche Stromversorgung notwendig sind, auch eine Peripherie für die Flüssigkeiten ist nicht nötig. Daneben zählt auch die Geräuschlosigkeit zu den Vorteilen. Gerade in der Beleuchtung kann die Geräuschentwicklung in vielen Fällen sehr störend sein, in manchen Bereichen wie etwa Konzertsälen ist dies sogar untersagt. Ein weiterer Vorteil ist die Nutzung des Gehäuses als Designelement, wobei sich der Kühlkörper direkt als Gehäuse für die LED nutzen lässt und weitere Bauteile entfallen.

Bild 2: LED-Blechkühlkörper zur Reduzierung des Gewichts
Bild 2: LED-Blechkühlkörper zur Reduzierung des GewichtsFischer Elektronik

Der große Nachteil ist, das bei höheren Leistungen der Kühlkörper sehr groß und somit auch ein hohes Gewicht haben muss, um die Wärme abführen zu können. Hier gibt es Lösungsansätze mit Kühlkörpern, die nicht aus einem Vollmaterial gepresst werden. Hierbei erfolgt die Wärmeabgabe über auf Platten geklebte Bleche, die so eine große Oberfläche bei geringem Gewicht haben (Bild 2). Allerdings sind diese von der Leistungsabgabe auch begrenzt. Hier kommen dann andere Verfahren mit entsprechenden Vorteilen ins Spiel.

Die erzwungene Konvektion mittels Lüftermotor kann die Wärmeabfuhr bis zu 45 Prozent bei gleicher Baugröße verbessern, was im Umkehrschluss heißt, dass der Kühlkörper bei gleicher Wärmeabgabe einen wesentlich kleineren Bauraum einnehmen kann. Bei der Kühlung über Fluide lässt sich der Bauraum nochmals verkleinern. Hier gilt es aber auch, den Platz für etwaige Peripherie wie etwa den Rückkühler zu berücksichtigen, der die über den Kühlkörper aufgenommene und an das Fluid weitergegebene Wärme dann an die Umgebung abgibt.

Eine Berechnung des Gesamtsystems kann bereits einen guten Aufschluss über dessen Werte und Verhalten geben. Jedoch sind Tests des berechneten Gesamtsystems weiterhin unabdingbar. Hier hilft eine computergestützte thermische Simulation in der Frühphase der Entwicklung weiter versteckte Wärmestaus oder ähnliches zu entdecken und auszuschalten. In dieser Phase der Entwicklung müssen Entwickler noch keine Prototypen herstellen. Die thermischen Simulationen erfolgen anhand von 3D-Daten, welche sich mit geringem Zeitaufwand optimieren. Einen abschließenden Test, um die LED in der Anwendung nicht überhitzen zu lassen, ersetzen diese aber auch nicht.

(prm)

Jeannine Schmidt

Entwicklungsingenieurin bei Fischer Elektronik
Schmidt

(prm)

Unternehmen