Noch ganz dicht?

Dichtheitsprüfung von Batterien mit Luft und Helium

Veröffentlicht Geändert
Dichtheitsprüfung Elektromobilität
Testverfahren für die Verbrennermotoren sind schon ausgereift, aber auch Testverfahren für Batterien etablieren sich zunehmend. Dafür bieten sich verschiedene Verfahren an.

Die Batterie im Elektroauto ist ein hochkomplexes Bauteil, das rauen Umweltbedingungen ausgesetzt ist. Ein wichtiger Aspekt dabei ist die Dichtheit und der Druckausgleich im Falle einer Beschädigung. Prüfen lässt sich das mit verschiedenen Verfahren.

Nicht nur die beschlossene Energiewende und der Klimawandel erfordern eine schnelle Umstellung auf die E-Mobilität, auch aktuelle Krisensituationen und deren wirtschaftlichen Folgen zeigen aufs Deutlichste, dass dringender Handlungsbedarf vorhanden ist, um sich von Gas- und Öl-Ressourcen unabhängig zu machen. Eng verknüpft mit der Energiewende ist ein Ausbau der Produktionskapazitäten, insbesondere bei Automobilherstellern und -zulieferern, aber auch in anderen Industriezweigen wie etwa der Solartechnik und der Windkraftbranche.

In der Automobilindustrie ist in diesem Zuge ein Umbau von den klassischen Verbrennerlinien hin zu neuen Produktionslinien für E-Fahrzeuge erforderlich. Die alten Verbrennerlinien verlieren in diesem Kontext immer mehr an Bedeutung. Dies liegt vor allem darin begründet, dass ein Elektromotor anders aufgebaut ist als ein Verbrennermotor und eine neue, zentrale Komponente hinzugekommen ist: die Traktionsbatterie. Bei rein elektrisch angetriebenen Fahrzeugen kommt der Traktionsbatterie eine besondere Bedeutung zu, denn mit einer größeren Reichweite steigen Größe und Kosten der Batterie. Weiterhin bestehen bei automobilen Anwendungen besondere Sicherheitsanforderungen, die insbesondere aus der hohen Energiedichte der Lithium-Ionen-Batterie resultieren.

Im Falle einer Crash-Situation oder bei Betrieb unter rauen Umweltbedingungen darf zu keiner Zeit eine Gefahr für die Fahrzeuginsassen entstehen. Um die konstruktive Stabilität der Batterie sicherzustellen, enthält das Batteriedesign entsprechende Crash-Strukturen, die bei einem Unfall die Beschädigung der Batterie und damit die mögliche Entstehung eines Brandes verhindern. Weiterhin sind in das Batteriegehäuse sogenannte Berstscheiben verbaut, die im Normalfall einen Druckausgleich zwischen dem Inneren der Batterie und der äußeren Umgebung herstellen und somit die Ansammlung von Feuchtigkeit im Gehäuse verhindern. Im Falle eines aus einer chemischen Reaktion resultierenden Druckanstiegs im Inneren der Batterie öffnet sich die in der Berstscheibe integrierte Membran, sodass der Druck gezielt nach außen hin abgeleitet werden kann. Die Berstscheibe hat dazu eine Sollbruchstelle, ist in der Folge jedoch nachhaltig zerstört. Eine weitere Herausforderung bei der Herstellung einer Traktionsbatterie stellt die Dichtung zwischen Gehäuseoberteil und -unterteil dar. Das Gehäuse muss so dicht sein, dass kein Wasser eindringen kann, ganz gleich, ob das Fahrzeug durch eine tiefe Pfütze fährt oder in der Waschstraße mit einem harten Wasserstrahl gereinigt wird. Diese Anforderungen werden in der IP-Schutzart beschrieben, die in der Norm ISO 20653:2013-02 detailliert erläutert ist.

Dichtheitsprüfung Batterie Autobatterie Elektromobilität
Dichtheitsprüfungen werden heute automatisiert mit Robotern durchgeführt.

Die Schutzart IP67 verlangt, dass „Wasser nicht in einer Menge eindringen darf, die schädliche Wirkungen hervorruft oder die Leistung beeinträchtigt, wenn das Gehäuse vorübergehend unter festgelegten Druck- und Zeitbedingungen in Wasser getaucht wird“. Die Schutzart IP69/IP69K geht noch darüber hinaus. Dieser zufolge „darf Wasser, das aus jeder Richtung gegen das Gehäuse gerichtet ist, keine schädlichen Wirkungen haben oder die Leistung beeinträchtigen“. Allerdings heißt es gleichzeitig, dass der Hersteller selbst abwägen muss, was eine schädliche Wirkung ist und ab wann die Leistung beeinträchtigt ist. Auch werden keine Werte genannt, mit deren Hilfe eine grobe Abschätzung der geforderten Dichtheit möglich wäre.

In der Regel wird Dichtheit mithilfe der Leckrate erfasst. Diese wird wie folgt ermittelt:

Leckrate

Die Leckrate wird häufig in die Einheit ccm/min umgerechnet. Dies ist besonders im Hinblick auf die in der Norm DIN EN 1779:1999 verwendeten Einheiten zu berücksichtigen. Die Dichtheitsprüfung mit Luft ist für die Überprüfung der Schutzarten IP67 und IP69/IP69K bei den üblichen Prüfvolumina von Traktionsbatterien in vollelektrischen Fahrzeugen nicht geeignet, da die unter den gängigen Rahmenbedingungen üblicherweise minimal messbare Leckrate dafür nicht ausreicht.

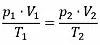
In diesem Kontext ist es wichtig, ein Verständnis für die zugrunde liegende Physik zu haben. Anhand der Zustandsgleichung der Gase lässt sich der Zusammenhang zwischen Druck, Volumen und Temperatur wie folgt aufzeigen:

Gleichung

Ändert sich nun eine der drei Variablen wie etwa die Temperatur, so ändert sich im gleichen Maße der Druck, sofern das Prüfteil volumenstabil ist, sich also das mit Luft gefüllte Volumen nicht ändert.

Dichtheitsprüfung Batterie Autobatterie Elektromobilität

E-Mobility: Batterie und Sicherheit

ae_emobility_batterie_940x250.jpg

Wie entstehen bessere E-Auto-Batterien und sind sie sicher? Bewährte und neue Batterietechnologien von Entwicklung bis Recycling, Brandschutz von Simulation über Materialien bis Batteriemanagement und Safety-Konzepten, sowie Testverfahren von EMV bis Sicherheit. Die Technologien dahinter finden Sie hier.

Meist lässt sich jedoch keine Aussage darüber treffen, inwieweit während einer Dichtheitsprüfung das Prüfteil unter Temperatureinfluss volumenstabil bleibt. Temperaturveränderungen in der Umgebung, beispielsweise aufgrund von Sonneneinstrahlung durch ein Fenster oder Zugluft durch ein geöffnetes Hallentor, wirken sich auf das Prüfergebnis aus. Die Erfahrung zeigt zudem, dass sich das Gehäuse einer Traktionsbatterie ausdehnt, auch wenn es nur mit einem geringen Prüfdruck beaufschlagt wird. Hinzu kommt, dass eine ausreichende Prozessfähigkeit gegeben sein muss, die im Rahmen einer Messfähigkeitsuntersuchung (MSA - Measurement System Analysis) überprüft wird.

Hersteller von Komponenten der E-Mobilität stehen nun vor der Herausforderung, deren ausreichende Dichtheit im Rahmen der Qualitätssicherung nachweisen zu müssen. Doch welche Grenzleckrate ist hier anzusetzen? Absolute Dichtheit gibt es nicht, aber welche ist für einen lebenslang sicheren Betrieb der Komponente ausreichend? Eine Suche nach konkreten Werten in den einschlägigen Normen bringt keinen Erkenntnisgewinn, demzufolge bleibt nur eine Möglichkeit, um die passende Grenzleckrate zu ermitteln: durch Versuche und anschließende Evaluierung.

Dichtheitsprüfung Batterie Autobatterie Elektromobilität
Roboter tasten die Batterie nach Leckstellen ab, an denen eingeführtes Gas austreten kann.

Dichtheitsprüfung mit Luft

Bei der Dichtheitsprüfung mit Luft gibt es mehrere Verfahren, die zum Einsatz kommen können: das Relativdruckverfahren, das Differenzdruckverfahren und das Masseflussverfahren.

Beim Relativdruckverfahren wird das Prüfteil mit Luft beaufschlagt und nach der Abgleichphase eine mögliche Leckage über einen Drucksensor ermittelt. Da der Drucksensor allerdings nur einseitig beaufschlagt wird, reduziert sich die Auflösung mit steigendem Prüfdruckbereich. Bei der Differenzdruckmethode dagegen wird eine mögliche Leckage über einen Differenzdrucksensor ermittelt. Der Vorteil dieses Verfahrens besteht darin, dass der Differenzdrucksensor zweiseitig mit Druck beaufschlagt wird und dadurch die Auflösung des Sensors bei steigendem Prüfdruckbereich nicht abnimmt. Aus diesem Grund können auch für höhere Prüfdrücke sehr feine Messwertauflösungen realisiert werden.

Bei großen Prüfteilen wie der Traktionsbatterie bietet sich insbesondere das Masseflussverfahren an, da hier schon bei kurzen Prüfzeiten belastbare Messergebnisse vorliegen.

Der Nachteil bei all diesen Luftlecktestverfahren ist, dass bei den üblichen Traktionsbatterien die geringen Grenzleckraten nicht erreicht werden können, wie sie zur Überprüfung von IP67 beziehungsweise IP69K erforderlich sind. Demnach ist hier eine Helium-Prüfung erforderlich.

Dichtheitsprüfung Batterie Autobatterie Elektromobilität
Bild 3: Eine Roboter geführte Schnüffelspitze fährt sämtliche potenzielle Leckstellen wie Verschraubungen oder Dichtungen ab.

So hat sich folgender Prüfaufbau als sinnvoll herausgestellt:

Die Traktionsbatterie wird zunächst einem Groblecktest mittels Luftlecktest unterzogen, um Batterien mit großen Leckagen von vorneherein aussortieren zu können. Somit können die Hersteller diese sofort nachbearbeiten. Mit einem Luftlecktest lässt sich außerdem das Kühlsystem der Batterie prüfen. Erfahrungsgemäß sind hier die erreichbaren Leckraten ausreichend, denn sie weichen auch bei Kühlkomponenten für die E-Mobilität nicht von den etablierten Erfahrungswerten ab.

Automatisierte Schnüffelprüfung

Die Batterie selbst wird mit einer Helium-Schnüffelprüfung auf Dichtheit geprüft. Dazu fährt die von einem Roboter geführte Schnüffelspitze sämtliche potenziellen Leckstellen ab – also Verschraubungen, Dichtungen, Stecker, Schweißnähte und so weiter. Zu beachten ist dabei:

  • Durchdringungszeit: In der Regel braucht es eine ganze Weile, bis sich überall im Inneren der Batterie die gewünschte Heliumkonzentration eingestellt hat. Die Durchdringung mit dem Prüfgas hängt unter anderem von den inneren Strukturen ab, die meist einer schnellen und gleichmäßigen Gasverteilung im Gehäuse entgegenwirken.
  • Vor jeder Prüfung bedarf es einer Neukalibrierung des Helium-Schnüffelgeräts. Dies ist deshalb erforderlich, weil sich bei der vorhergehenden Prüfung die Untergrundkonzentration aufgrund eines Austritts einer Heliumwolke aus einer vorhandenen Leckage erhöht haben könnte. Durch die Kalibrierung wird der Referenzwert auf die Untergrundkonzentration gelegt.
  • Bei der Einrichtung einer Leckteststation sind die einschlägigen Brandschutzvorschriften zu berücksichtigen. Dabei muss jederzeit ein schnelles Eingreifen zur Eindämmung eines möglichen Brandes möglich sein. Bei der Versuchsdurchführung im Vorfeld bietet sich das Arbeiten mit Batterie-Dummies an, die zwar dieselben inneren Strukturen haben, aber keine unter Spannung stehenden Zellen beinhalten. Dummies erleichtern die Arbeit und reduzieren grundsätzliche Gefahren beim Umgang mit Traktionsbatterien.
  • An der Traktionsbatterie muss ein Zugang vorhanden sein, um sie mit Helium zu befüllen. Für eine gute Detektion möglicherweise vorhandener Leckagen durch den Helium-Schnüffler sollte die Heliumkonzentration mindestens 2 bis 6 Prozent betragen. Im Idealfall sollten die Tester die Batterie über eine Berstscheibe befüllen können, die mit einer passenden Abdichtvorrichtung versehen ist, damit hier kein Helium entweichen kann. In diesem Fall muss der Fülldruck konstant auf einem bestimmten Wert liegen, ansonsten wird die Berstscheibe beschädigt.
  • Bei der Schnüffelprüfung ist aufgrund der nicht ausreichend gleichmäßigen Heliumkonzentrationsverteilung an den Leckstellen keine der üblichen Messfähigkeitsuntersuchungen möglich.
Dichtheitsprüfung Batterie Autobatterie Elektromobilität
Mit den Lecktestgeräten von JW Froehlich lassen sich Dichtheitsprüfungen an Batterien mit verschiedenen Verfahren durchführen.

Fazit

Grundsätzlich ist die Dichtheitsprüfung von Traktionsbatterien sowohl mit Luft als auch mit Helium möglich. Wird Luft als Prüfgas verwendet, so ist eine schnelle Prüfung mit kurzen Prüfzeiten und einem geringeren apparativen Aufwand möglich – allerdings mit höheren Grenzleckraten. Bei einer Heliumschnüffelprüfung können auch kleinste Leckagen erkannt, aber nur eingeschränkt quantifiziert werden. Zudem ist der technische, finanzielle und räumliche Aufwand hierbei deutlich höher. Welche Grenzleckrate einer Prüfung zugrunde gelegt wird, entscheidet der Hersteller unter Abwägung unterschiedlichster Aspekte. Wie erwähnt ist dabei die Frage, ab wann ein gefährlicher Zustand eintritt und die Leistung beeinträchtigt wird, von zentraler Bedeutung. Diese kann nur im Rahmen einer umfassenden Risikoanalyse und durch Auswertung entsprechender Versuchsreihen beantwortet werden. Ähnliche Diskussionen wurden bereits vor vielen Jahren geführt, als es darum ging, passende Grenzleckraten für die Dichtheitsprüfung von Verbrennungsmotoren zu definieren. Zunächst wurden aus Sicherheitsgründen sehr kleine Grenzleckraten definiert, die mit zunehmender praktischer Erfahrung so angepasst wurden, dass eine Dichtheitsprüfung mit Luft möglich wurde. Heute ist in der Verbrennertechnik die Dichtheitsprüfung mit Luft Standard.

Es gilt also: Unter Qualitätsaspekten und vor allem aus betriebswirtschaftlicher Sicht ist so umfangreich und genau zu prüfen, wie nötig. Nicht mehr und nicht weniger.

Stefanie Geisbusch

Vertrieb für Lecktestgeräte bei JW Froehlich

Schwerpunktthema: E-Mobility

ae_schwerpunkt_940x250.jpg

In diesem Themenschwerpunkt „E-Mobility“ dreht sich alles um die Technologien in Elektrofahrzeugen, Hybriden und Ladesäulen: Von Halbleitern über Leistungselektronik bis E-Achse, von Batterie über Sicherheit bis Materialien und Leichtbau sowie Test und Infrastruktur. Hier erfahren Sie mehr.