Wide-Bandgap-Halbleiter durchbrechen Barrieren

GaN- und GaAs erhöhen Leistung und Bandbreite von HF-Verstärkern

Veröffentlicht Geändert
powerful fist

Höhere Datenraten in Telekommunikationsanwendungen und Industriesystemen mit höherer Auflösung lassen die Arbeitsfrequenzen der darin enthaltenen Elektronikschaltungen in die Höhe schnellen. GaAs- und GaN-Transistoren mit kürzeren Gate-Längen in Verbindung mit verbesserten Techniken zur Entwicklung von Schaltkreisen ermöglichen Bausteine, die gut bei Frequenzen im Millimeterbereich arbeiten können und somit neue Anwendungen erschließen.

Bei GaN und GaAs tut sich was: Viele drahtlose Elektroniksysteme sind für den Einsatz in großen Frequenzbereichen ausgelegt. So gibt es zum Beispiel in der Militärbranche Radarfrequenzbänder von einigen hundert MHz bis vielen GHz. Auch Bedrohungen können heute über eine Vielzahl von Frequenzen in ein System gelangen, von einigen MHz bis zu 20 GHz oder höher. Da immer mehr Elektronik für höhere Frequenzen verfügbar wird, steigt auch der Bedarf an Systemen für elektronische Kampfführung in diesen Frequenzbereichen. Auch in der Telekommunikation, wo Basisstationen mit Frequenzen von 450 MHz bis rund 3,5 GHz arbeiten, ist die Tendenz steigend. Satellitenkommunikationssysteme nutzen hauptsächlich die Bänder C bis Ka.

Um aber allgemein akzeptiert zu werden, müssen die Geräte für Messungen an diesen unterschiedlichen Elektroniksystemen jedoch über alle benötigten Frequenzen ausgelegt sein – eine Herausforderung, der Systemingenieure derzeit gegenüber stehen. Die Möglichkeit, mit nur einer Signalkette den gesamten Frequenzbereich abzudecken, würde die meisten Entwickler begeistern, denn sie bietet zahlreiche Vorteile, beispielsweise einfacheres Design, kürzere Time-to-Market, weniger Bauteile und dadurch vereinfachte Lagerhaltung. Beim Einsatz von nur einer Signalkette wird stets, wie bei jeder Breitbandlösung im Vergleich zu einer schmalbandigen Lösung üblich, die Leistungsfähigkeit herabgesetzt. Im Kern dieser Herausforderung befindet sich der Leistungsverstärker, der hinsichtlich Leistung und Effizienz üblicherweise erstklassige Leistungsdaten aufweist – wenn er über eine schmale Bandbreite abgestimmt wird.

GaN-Technologie verdrängt Wanderfeldröhren

Eck-Daten

Halbleitermaterialien wie GaAs und GaN eröffnen Möglichkeiten, um bei Verstärkern höhere Leistungen zu erreichen und große Bandbreiten abzudecken. GaAs-Bausteine mit kurzen Gate-Längen haben beispielsweise die Frequenzbereiche von 20 GHz bis 40 GHz und darüber erweitert. Der Beitrag beleuchtet unterschiedliche Techniken und Halbleitertechnologien, die Kompromisse hinsichtlich optimaler Leistung, Effizienz und Bandbreite von Verstärkern bieten.

In der Vergangenheit haben Wanderfeldröhren als ausgangsseitige Leistungsverstärkerstufe viele Elektroniksysteme mit höherer Leistungsaufnahme aufgrund ihrer vorteilhaften Eigenschaften dominiert: Sie stellen Leistungen von mehreren Kilowatt bereit, arbeiten über Bandbreiten von einer bis mehreren Oktaven und sie besitzen eine hohe Effizienz im ausgeschalteten Zustand sowie eine gute Temperaturstabilität. Allerdings haben sie auch Nachteile, wie beispielsweise schlechte Langzeitzuverlässigkeit und niedrigere Effizienz. Außerdem benötigen sie sehr hohe Spannungen von rund 1 kV oder höher. Um die Langzeitzuverlässigkeit von ICs weiter zu erhöhen, gibt es seit Jahren entsprechende Bemühungen, angefangen beim Einsatz von GaAs.

Um hohe Ausgangsleistungen zu erzeugen, haben viele Systemingenieure daran gearbeitet, möglichst mehrere GaAs-ICs zu kombinieren. Dazu gibt es viele verschiedene Möglichkeiten, wie etwa räumliche oder gemeinsame Verbindungen, jedoch gehen damit immer Verluste einher. Besser wäre es, die Techniken nicht kombinieren zu müssen und statt dessen für die Schaltungsentwicklung Hochleistungselektronik zu nutzen. Die einfachste Möglichkeit, die HF-Leistung eines Leistungsverstärkers zu erhöhen, besteht darin, die Spannung zu erhöhen, was GaN-Transistortechnologien so attraktiv macht. Ein Vergleich der verschiedenen Halbleiterprozesstechnologien zeigt, wie die Leistung bei IC-Technologien für höhere Betriebsspannungen im Allgemeinen zunimmt (Bild 1).

Bild 1: Vergleich verschiedener Prozesstechnologien der Leistungselektronik für den Mikrowellen-Frequenzbereich GaN und GaAs
Bild 1: Vergleich verschiedener Prozesstechnologien der Leistungselektronik für den Mikrowellen-Frequenzbereich.Analog Devices

Silizium-Germanium-Technologie (SiGe) nutzt eine relativ niedrige Betriebsspannung zwischen 2 V und 3 V und ist wegen ihrer Integrationsvorteile sehr interessant. GaAs kommt seit Jahren für Leistungsverstärker mit Frequenzen im Mirowellenbereich zum Einsatz und arbeitet mit Spannungen von 5 V bis 7 V. Die Silizium-LDMOS-Technologie arbeitet mit 28 V und wird seit Jahren in der Telekommunikation eingesetzt. Weil sie hauptsächlich für Frequenzen unter 4 GHz nützlich ist, ist sie in Breitband-Anwendungen eher selten anzutreffen. Das Aufkommen der GaN-Technologie, die mit 28 V bis 50 V auf einem Substrat mit geringen Verlusten und hoher Wärmeleitfähigkeit, wie zum Beispiel Siliziumkarbid (SiC) arbeitet, hat eine Reihe von neuen Anwendungsmöglichkeiten hervorgebracht.

Heute ist der Einsatz von GaN auf Silizium-Technologie auf den Betrieb unter 6 GHz begrenzt. Die HF-Verluste in Verbindung mit dem Siliziumsubstrat und seiner niedrigeren Wärmeleitfähigkeit gegenüber SiC beeinträchtigt mit steigender Frequenz die Verstärkung sowie die Effizienz und Leistungsaufnahme. Das Aufkommen der GaN-Technologie hat die Wanderfeldröhren als Verstärker verdrängt – viele Systeme verfügen nun über GaN-Verstärker als Ausgangsstufe. Der Treiberverstärker in vielen Systemen verwendet im Allgemeinen noch immer GaAs, da ein Großteil dieser Technologie bereits vorhanden ist und weiter verbessert wird.

Wie sich mit dem entsprechenden Schaltkreis-Design der Frequenzbereich des Verstärkers erweitern lässt, beschreibt der Beitrag auf der nächsten Seite.

Mit dem Schaltkreis-Design den Frequenzbereich erweitern

Im Folgenden beleuchtet der Beitrag, wie sich das Schaltkreis-Design nutzen lässt, um möglichst viel Leistung, Bandbreite und Effizienz aus diesen breitbandigen Leistungsverstärkern herauszuholen. Schaltungen auf GaN-Basis sind in der Lage, höhere Ausgangsleistungen als GaAs-basierte Designs zu liefern, wobei die Überlegungen bei der Entwicklung weitgehend identisch sind. Der gebräuchlichste Typ einer monolithischen Verstärkerschaltung ist ein mehrstufiges Common-Source-Design auf Transistorbasis, auch bekannt als Kaskadenverstärkerdesign. Hier führen die Vielfachen der Verstärkungen jeder Stufe zu einer hohen Verstärkung. Diese erlaubt die Erhöhung der Größe der Ausgangstransistoren, um eine höhere HF-Leistung zu erzeugen. GaN bietet hier Vorteile, da sich die kombinierten Ausgänge wesentlich vereinfachen und somit Verluste reduzieren lassen. Dies erhöht die Effizienz und ermöglicht die Verkleinerung der Chip-Abmessungen.

Bild 2: Mehrstufiger GaAs-Leistungsverstärker (PA) verglichen mit einem äquivalenten GaN-PA
Bild 2: Mehrstufiger GaAs-Leistungsverstärker (PA) verglichen mit einem äquivalenten GaN-PA.Analog Devices

Ein weniger offensichtlicherer Vorteil beim Umstieg von GaAs- auf GaN-Bausteine ist, einen bestimmten HF-Leistungspegel zu erzielen, zum Beispiel 4 W. Die Transistorabmessungen sind kleiner, was in einer höheren Verstärkung pro Stufe mündet (Bild 2). Dies führt zu weniger Stufen pro Design und erhöht letztendlich die Effizienz. Die Schwierigkeit bei dieser Kaskadenverstärkertechnik ist, Bandbreiten von über einer Oktave zu erzielen, ohne die Leistungsaufnahme und Effizienz wesentlich zu beeinträchtigen – und das selbst mithilfe von GaN-Technologie.

Bild 3: Schaltbild eines symmetrischen Verstärkers mit Lange-Kopplern GaN und GaAs
Bild 3: Schaltbild eines symmetrischen Verstärkers mit Lange-Kopplern.Analog Devices

Ein Konzept zur Entwicklung von Schaltungen mit großer Bandbreite besteht darin, ein symmetrisches Design mit Lange-Kopplern an HF-Ein- und Ausgang zu implementieren. Hier ist die Rückflussdämpfung (Return Loss) letztlich vom Kopplerdesign abhängig, da es einfacher ist, die Verstärker- und Leistungsreaktion über die Frequenz zu optimieren, ohne auch die Rückflussdämpfung optimieren zu müssen (Bild 3). Selbst beim Einsatz von Lange-Kopplern ist es schwieriger, Bandbreiten von über einer Oktave zu erreichen, wobei sie allerdings eine gute Rückflussdämpfung für das Design bieten.

Verteilter Verstärker geht über eine Oktave hinaus

Eine weitere mögliche Topologie ist der verteilte Leistungsverstärker (Bild 4). Dessen Vorteile kommen zum Tragen, indem die parasitären Effekte des Transistors in die Anpassungsnetzwerke zwischen den Bauteilen eingebunden werden. Die Ein- und Ausgangskapazitäten des Bausteins lassen sich mit der Gate- beziehungsweise Drain-Leitungsimpedanz kombinieren, um die Übertragungsleitungen praktisch transparent zu machen und Leitungsverluste zu verringern. Dadurch wird die Verstärkung des Verstärkers nur durch die Transkonduktanz des Bauteils begrenzt und nicht durch die parasitären Kapazitäten. Dies geschieht nur dann, wenn das Signal auf der Gate-Leitung in Phase mit dem Signal auf der Drain-Leitung ist, damit die Ausgangsspannung jedes Transistors sich in Phase zum Ausgang des vorangehenden Transistors addiert. Das Signal in Richtung Ausgang überlagert sich konstruktiv, sodass das Signal entlang der Drain-Leitung wächst. Gegenwellen werden destruktiv überlagert, da diese Signale nicht in Phase sind. Der Gate-Leitungsabschluss ist inkludiert, um Signale zu absorbieren, die nicht mit den Gates der Transistoren gekoppelt sind.

Bild 4: Vereinfachtes Blockdiagramm eines verteilten Verstärkers. GaN GaAs
Bild 4: Vereinfachtes Blockdiagramm eines verteilten Verstärkers.Analog Devices

Der ebenfalls inkludierte Drain-Leitungsabschluss absorbiert alle Gegenwellen, die sich destruktiv mit dem Ausgangssignal überlagern und die Rückflussdämpfung bei niedrigen Frequenzen verbessern könnten. Deshalb lassen sich Bandbreiten über mehrere Dekaden von einigen kHz bis zu vielen GHz realisieren. Diese Topologie ist verbreitet, wenn mehr als eine Oktave Bandbreite benötigt wird. Außerdem zeigt sie einige nützliche Vorteile wie zum Beispiel einen flachen Verstärkungsverlauf, eine gute Rückflussdämpfung oder eine hohe Leistung.

Auf der nächsten Seite erfahren Sie, wie sich durch Einsatz von GaN-Baulementen die Verstärkerleistung von 0,25 W auf 8 W erhöhen lässt.

Schneller Wechsel der Versorgungsspannung

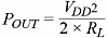
Bei verteilten Verstärkern wird das Leistungsvermögen durch die Spannung am Baustein vorgegeben. Da es keine Schmalband-Abstimmfähigkeit gibt, wird für gewöhnlich eine Impedanz von 50 Ω an den Transistor oder in seiner Nähe angelegt. Bei Betrachtung der Gleichung (Bild 5) wird die Durchschnittsleistung PA mit RL oder einem optimalem Lastwiderstand, meist 50 Ω, ermittelt. Damit lässt sich die erreichbare Ausgangsleistung durch die am Verstärker anliegende Spannung bestimmen: soll die Ausgangsleistung erhöht werden, muss auch die Spannung am Verstärker steigen.

Bild 5: Formel zur Berechnung der Ausgangsleistung eines verteilten Verstärkers GaN GaAs
Bild 5: Formel zur Berechnung der Ausgangsleistung eines verteilten Verstärkers.Analog Devices

An dieser Stelle ist GaN sehr hilfreich, da ein schneller Wechsel von einer 5-V-Versorgungsspannung mit GaAs auf eine Versorgungsspannung von 28 V mit GaN möglich ist und sich die erreichbare Leistung unkompliziert durch den Umstieg von GaAs- auf GaN-Technologie von 0,25 W auf fast 8 W erhöhen lässt. Weitere Überlegungen betreffen zum Beispiel die Gatelänge des in GaN verfügbaren Prozesses und ob sich die am Hochfrequenzende des Bandes benötigte Verstärkung erzielen lässt. Im Laufe der Zeit werden immer mehr dieser GaN-Prozesse verfügbar. Der feste RL von 50 Ω für verteilte Verstärker ist anders als beim Kaskadenverstärker, wo sich der Widerstandswert am Transistor durch die Anpassung von Netzwerken ändert, hinsichtlich der Leistung des Verstärkers zu optimieren.

Bei Kaskadenverstärkern gibt es einen Vorteil bei der Optimierung des Widerstandswertes am Transistor insofern, als dass er die HF-Leistung erhöhen kann. Theoretisch lässt sich die Transistor-Peripheriegröße weiter erhöhen, um die HF-Leistung zu steigern, jedoch gibt es praktische Einschränkungen, wie beispielsweise die Komplexität, die Chip-Abmessungen und kombinierte Verluste. Die Anpassungsnetzwerke neigen auch zur Begrenzung der Bandbreite, da es schwierig wird, mit ihnen eine optimale Impedanz über große Frequenzen zu erreichen. Anstatt Anpassungsnetzwerke zu verwenden, dienen die Übertragungsleitungen im verteilten Leistungsverstärker allein zur konstruktiven Überlagerung der Signlae entlang des Verstärkers. Eine alternative Technik zur Erhöhung der Leistung in verteilten Leistungsverstärkern ist der Einsatz einer kaskadierten Verstärkertopologie zur Erhöhung der Spannungsversorgung zum Verstärker.

Was Verstärker auf GaAs-Basis schon heute leisten, erläutert der Beitrag auf der nächsten Seite.

Das leisten Verstärker von heute

Bild 6: Verstärkung, Leistung und PAE des GaAs-basierten HMC994A gegenüber der Frequenz
Bild 6: Verstärkung, Leistung und PAE des GaAs-basierten HMC994A gegenüber der Frequenz.Analog Devices

Betrachtet wird ein verteilter HF-Leistungsverstärker auf GaAs-Basis, der von DC bis 30 GHz arbeitet. Der HMC994A von Analog Devices deckt viele Bandbreiten von mehreren Dekaden ab, eignet sich für zahlreiche Anwendungen und erreicht eine hohe Leistung beziehungsweise Effizienz. Dieses Bauteil weist starke Third-Order-Intercept-Leistungsdaten (TOI) von nominal 38 dBm auf und zeigt, dass sich mit Designs auf GaAs-Basis eine Effizienz erreichen lässt, die nahe bei der mit vielen Schmalband-Leistungsverstärkerdesigns erreichbaren Effizienz liegt. Der Baustein besitzt eine positive Verstärkungssteilheit über die Frequenz, hohe PAE und Breitband-Leistungsdaten sowie eine starke Rückflussdämpfung (Bild 6).

Bild 7: Leistungsverstärkung, PSAT und PAE des in GaN-Technologie umgesetzten HMC8205BF10 über die Frequenz
Bild 7: Leistungsverstärkung, PSAT und PAE des in GaN-Technologie umgesetzten HMC8205BF10 über die Frequenz.Analog Devices

In der GaN-Technologie bietet Analog Devices das Standardprodukt HMC8205BF10 an. Der HF-Verstärker kombiniert hohe Leistung, Effizienz und Bandbreite. Das Bauteil arbeitet bei einer Versorgungsspannung von 50 V und bietet eine HF-Leistung von 35 W bei einer Effizienz von nominal 35 % mit rund 20 dB Leistungsverstärkung über eine Bandbreite von einer Dekade. In diesem Fall kann ein einziger IC eine rund zehnmal höhere Leistung liefern als ähnliche Konzepte in GaAs. Vorteilhaft ist auch, dass sich der Baustein in einem Flange-Gehäuse befindet, das CW-Signale unterstützt.

Das Aufkommen neuer Halbleitermaterialien wie GaN hat Möglichkeiten eröffnet, um höhere Leistungen zu erreichen und große Bandbreiten abzudecken. GaAs-Bausteine mit kürzeren Gate-Längen haben die Frequenzbereiche von 20 bis 40 GHz und darüber erweitert. In der Literatur wurde gezeigt, dass die Zuverlässigkeit dieser Bauteile eine Million Stunden übersteigt und sie somit allgegenwärtig für moderne Elektroniksysteme macht. Es wird erwartet, dass sich die Trends hin zu höheren Frequenzen und größeren Bandbreiten in Zukunft fortsetzen.

(il/na)

Keith Benson

Product Line Director für HF/MW-Verstärker und Phased Array ICs
Benson_Keith

(il/na)

Unternehmen